SARS-CoV-2 variants of concern


 

Trevor Bedford (@trvrb)
Associate Professor
Fred Hutch, Seattle, WA
13 Jan 2021
 
Slides at: bedford.io/talks

1. Evolutionary origins of variant viruses

2. Implications for unfolding pandemic

Evolutionary origins

Over 300k SARS-CoV-2 genomes shared and evolution tracked in real-time at nextstrain.org

Spike protein is critical for cell invasion by the virus and is the primary target for human immune response

484K and 501Y repeatedly emerging across the world

Emergence of 501Y.V1 in the UK

Emergence of 501Y.V2 in the South Africa

Emergence of 501Y.V3 in the Brazil

Three occurences makes a pattern. Working hypothesis of rare events occurring during chronic infection, driven by natural selection for immune escape.

Pandemic implications

Three different phenotypic traits may be affected

  1. Transmissibility
  2. Severity
  3. Antigenicity

Three different phenotypic traits may be affected

  1. Transmissibility (strong evidence for increase)
  2. Severity (weak evidence for little change)
  3. Antigenicity (moderate evidence for partial immune escape)

Rapid increase in prevalence of 501Y.V1 in the UK consistent with 50% greater transmissibility

Contacts of 501Y.V1 cases more likely to become infected

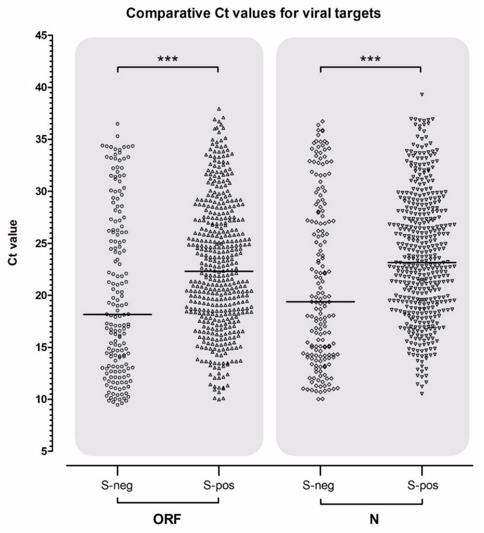
Increased viral load of 501Y.V1 circulating in the UK

Matched cohort study by Public Health England suggests not a large difference in outcomes between 501Y.V1 cases and wildtype cases. However, number of outcomes recorded is small.

Mutations in 501Y.V2 circulating in South Africa impact antibody binding (501Y.V1 in the UK is less of a concern)

Strong immune response to mRNA vaccines may help here

I still expect 2021 to bring the pandemic under control through vaccination and natural infection, but perhaps with a rockier start than I had imagined just 3 weeks ago.