Molecular evolution of SARS-CoV-2


 

Trevor Bedford (@trvrb)
Associate Professor, Fred Hutchinson Cancer Research Center
11 Feb 2021
ACTIV Meeting
NIH
 
Slides at: bedford.io/talks

1. Real-time tracking of SARS-CoV-2 evolution

2. Emergence of variants of concern

3. Expectations for antigenic evolution

4. Current US circulation patterns

Real-time tracking of SARS-CoV-2 evolution

Over 510k SARS-CoV-2 genomes shared to GISAID and evolution tracked in real-time at nextstrain.org

SARS-CoV-2 lineages establish globally in February and March

Limited early mutations like D614G spread globally during initial wave

Summer and fall variants were confined to regional dominance

Emergence of variants of concern

484K and 501Y repeatedly emerging across the world

Emergence of 501Y.V1 (B.1.1.7) in the UK

Emergence of 501Y.V2 (B.1.351) in the South Africa

Emergence of 501Y.V3 (P.1) in the Brazil

Substantial convergent evolution

Three occurences makes a pattern. Working hypothesis of rare events occurring during chronic infection, driven by natural selection for immune escape.

Rapid within-host evolution during persistent infection

484K and 501Y observed during this evolution

Expectations for antigenic evolution

Up to December, my expectation was evolution as seen in seasonal coronaviruses

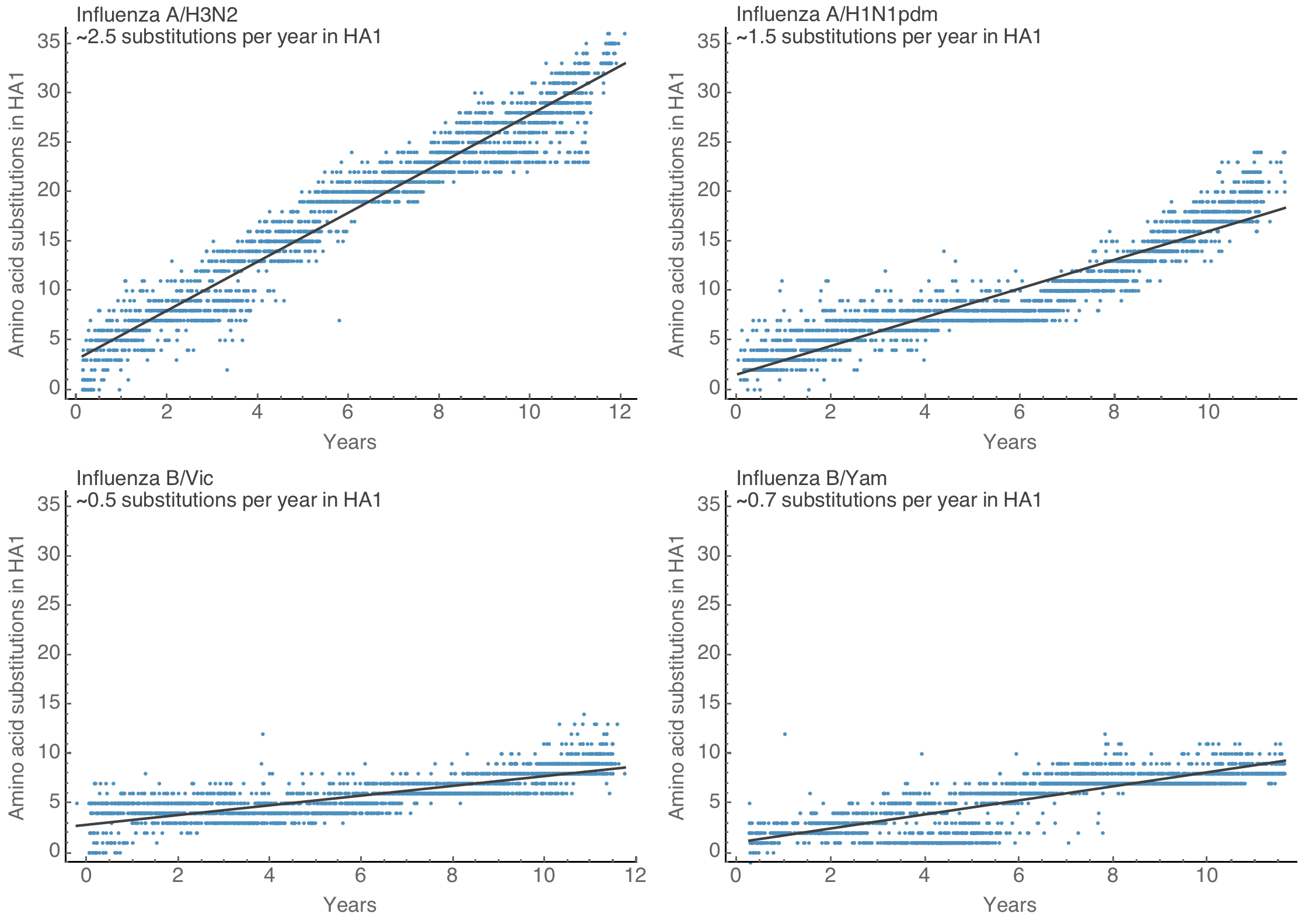
OC43 and 229E show flu B-like rates of adaptive evolution in S1

~23 mutations per year across SARS-CoV-2 genome

Substantial increase in spike S1 amino acid substitutions in VOCs

Spike S1 rate of 2.9 subs per year similar to rate in HA1 of flu A

Influenza H3N2 drifts at ~1 two-fold HI dilution per year

SARS-CoV-2 VOCs have evolved ~10 amino acid sites in S1 in over one year. This is rapid even for influenza A. 501Y.V2 shows an ~8-fold drop in neutralization titer, equivalent to ~3 years of H3N2 evolution.

Current US circulation patterns

Substantial improvements in the both the volume and cadence of US genomic surveillance

My standard metric is number of sequences available from samples collected in the past 30 days

20C/S:452R and 20I (B.1.1.7) still at low frequency, but rising

Acknowledgements

SARS-CoV-2 genomic epi: Data producers from all over the world, GISAID and the Nextstrain team

Bedford Lab: Alli Black, John Huddleston, James Hadfield, Katie Kistler, Louise Moncla, Maya Lewinsohn, Thomas Sibley, Jover Lee, Kairsten Fay, Misja Ilcisin, Cassia Wagner, Miguel Paredes, Nicola Müller, Marlin Figgins, Eli Harkins